在本文中,您将学习什么是Python中的多重继承以及如何在程序中使用它。 您还将了解多级继承和方法解析顺序。
像C ++一样,一个类可以从Python中的多个基类派生。这称为多重继承。
在多重继承中,所有基类的功能都继承到派生类中。多重继承的语法类似于单一继承。
class Base1: pass class Base2: pass class MultiDerived(Base1, Base2): pass
在这里,MultiDerived源自类Base1和Base2。

MultiDerived类从Base1和Base2继承。
另一方面,我们也可以继承派生类。这称为多级继承。在Python中可以是任何深度。
在多级继承中,基类和派生类的功能被继承到新的派生类中。
下面给出了具有相应可视化效果的示例。
class Base: pass class Derived1(Base): pass class Derived2(Derived1): pass
在此,Derived1从Base派生,Derived2从Derived1派生。

Python中的每个类都派生自该类object。它是Python中最基本的类型。
因此,从技术上讲,所有其他类(内置的或用户定义的)都是派生类,而所有对象都是object类的示例。
# 输出: True
print(issubclass(list,object))
# 输出: True
print(isinstance(5.5,object))
# 输出: True
print(isinstance("Hello",object))在多继承方案中,将在当前类中首先搜索任何指定的属性。如果未找到,则搜索将以深度优先,从左到右的方式继续进入父类,而无需两次搜索相同的类。
所以,在上面的实例中MultiDerived类中的搜索顺序是[ MultiDerived,Base1,Base2,object]。该顺序也称为MultiDerived类的线性化,用于查找该顺序的规则集称为“ 方法解析顺序(MRO)”。
MRO必须防止本地优先级排序,并且还必须提供单调性。它可以确保一个类始终出现在其父级之前,如果有多个父级,则其顺序与基类的元组相同。
可以将类的MRO视为__mro__属性或mro()方法。前者返回一个元组,而后者返回一个列表。
>>> MultiDerived.__mro__ (<class '__main__.MultiDerived'>, <class '__main__.Base1'>, <class '__main__.Base2'>, <class 'object'>) >>> MultiDerived.mro() [<class '__main__.MultiDerived'>, <class '__main__.Base1'>, <class '__main__.Base2'>, <class 'object'>]
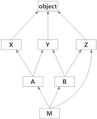
这是一个稍微复杂的多重继承示例及其可视化以及MRO。

class X: pass class Y: pass class Z: pass class A(X,Y): pass class B(Y,Z): pass class M(B,A,Z): pass # 输出: # [<class '__main__.M'>, <class '__main__.B'>, # <class '__main__.A'>, <class '__main__.X'>, # <class '__main__.Y'>, <class '__main__.Z'>, # <class 'object'>] print(M.mro())
请参考此内容,以进一步讨论MRO,并了解实际算法的计算方式。